cem evi ne demek
imam huseyin cem evi sariyer istanbul evler istanbul From Pinterest

kucukcekmece haberleri garip dede cemevi dernegi baskani birbirimizle ugrasmayalim istanbul haberleri

kitchen rules canvas all about coffee house rules funny coffee in this house we in this kitchen coffee love kitchen rules house rules kitchen rules sign

aleviler muslumansa cemevi niye var uludag sozluk

pin by leslie chan on happy home small courtyard gardens small balcony garden courtyard gardens design

cemevi nedir islamda bolunmeye neden olur mu

pin on care package self care
![]()
cemevi wikiwand

chp den cemevi onergesi politikyol haber sitesi

imam huseyin cem evi sariyer istanbul evler istanbul

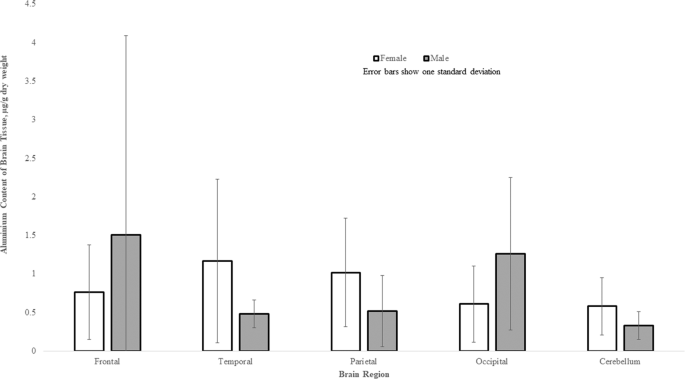
aluminium in human brain tissue from donors without neurodegenerative disease a comparison with alzheimer s disease multiple sclerosis and autism scientific reports

cemevlerine ibadethane statusu belediyelerin karari ne anlama geliyor turkiye dw 16 01 2020

smeg 50s retro smeg smeg fridge home decor

cemevlerine ibadethane statusu belediyelerin karari ne anlama geliyor turkiye dw 16 01 2020

alevi nedir alevilik inanclari ve ibadet bio bilgi

inspiration ostheimer hen house with hen rooster and three little chickies beautiful toys simple toys wood toys

cemevlerine ibadethane statusu belediyelerin karari ne anlama geliyor turkiye dw 16 01 2020

aihm den tarihi cemevi karari en son haberler

alevilik bektasilikle ilgili temel kavramlar ve erkanlar nelerdir

ana fatma cemevi muaviye zulmune dur diyecegiz video pirha

cem ve cemevi din kulturu
cemevi ibadethane degilse nedir oral calislar radikal

big data ecosystem ecosystems segmentation data science

diyarbakir cemevi turkiye de hafizalastirma

germany s merkel hands over chancellor s office to scholz the new york times

neden cemevi sivil sayfalar

itgs extended essay example in 2021 essay examples linking words essay

cem cem evi nedir aleviler cami de degil cem evi izledost
3

pneumatic tools are made for the most intense usage choosing suitable pneumatic tools is key to ensure productivity mee infographic automation control valves

ruyada cemevi gormek

cem evi ne demek

bagcilar cemevi nde postta artik ana da var sivil sayfalar

lucky stars rosewater gemstone mist attract abundance aromatherapy mist konmari smudging

world s largest cement maker lafargeholcim commits to bold climate action we mean business coalition

tunnel spoil recycling for concrete production at the brenner base tunnel in austria voit 2020 structural concrete wiley online library
2

o cemevi baskani acikladi imam hatip ve ilahiyat mezunu iki dede yi diyanet e biz onerdik pirha

chp li kaftancioglu cemevleri ibadethanedir son dakika haberleri

cemevi nedir cemevinde ne yapilir bio bilgi






